Search

Sodium Alginates

Natural Polymer for
Paper and Packaging

SNP is a leading sodium alginate company and offers four series of products, each in a range of viscosities:
C-Series, N-Series, QD-Series, and QS-Series. Sodium alginate is a natural product derived from brown seaweed.  Send us an email or call to start a conversation about working with us. We can help you determine which series and/or viscosity range will best suit your needs once we understand your desired properties and other considerations.

C-SERIES

The C-Series is a standard sodium alginate for use in paper making, paper coatings, textiles, printing and certain specialty industries. The C-Series viscosity ranges from 15 to 900 cps in a 1% solution. 

N-SERIES

The N-Series is ideal for use in the size press applications that require high Gurley porosity values, including: postcard, silicone release grades, and OGWR (oil, grease and water resistant). The N-Series viscosity ranges between 400-900 cps. 

QD SERIES

SNP’s QD series is quick dispersing and is designed for applications where tank agitation is insufficient to form a vortex at the time of alginate addition. QD alginates are treated through a proprietary process to prevent lumping without loss in beneficial alginate properties. The benefits of the QD series are: low dusting, disperses under low shear and without the use of a dry material eductor, disperses without lumping and eliminates formation of gel-balls.

QS SERIES

SNP quick soluble, QS, alginates offer the benefit of quick hydration under normal shear conditions. Quick hydration is especially important to manufacturer’s seeking to increase coating throughput. QS alginates are designed to reduce time of hydration from 20 to 10 minutes. QS readily disperses and wets out, is low dusting and is available in a broad range of molecular weights. These products are made using a proprietary process developed by SNP chemists and engineers. They find use in applications such as high-speed blade coating applications, high through put coating make-down systems, automated coating and ink make-down systems.

  • High affinity for water
  • Reduces porosity when applied to surface of paper
  • Excellent water retention
  • Provides excellent paper coating holdout
  • Reduces binder migration from paper coating
  • Reduces porosity when applied to surface of paper
  • Improved oil and grease barrier
  • High affinity for water
  • Reduces porosity when applied to surface of paper
  • Excellent water retention
  • Provides excellent paper coating holdout
  • Reduces binder migration from paper coating
  • Reduces porosity when applied to surface of paper
  • Improved oil and grease barrier
  • High affinity for water
  • Reduces porosity when applied to surface of paper
  • Excellent water retention
  • Provides excellent paper coating holdout
  • Reduces binder migration from paper coating
  • Reduces porosity when applied to surface of paper
  • Improved oil and grease barrier

C-SERIES

The C-Series is a standard sodium alginate for use in paper making, paper coatings, textiles, printing and certain specialty industries. The C-Series viscosity ranges from 15 to 900 cps in a 1% solution. 

SNP’s C-Series Sodium Alginates shown below:

N-SERIES

The N-Series is ideal for use in the size press applications that require high Gurley porosity values, including: postcard, silicone release grades, and OGWR (oil, grease and water resistant). The N-Series viscosity ranges between 400-900 cps. 

SNP’s N-Series Sodium Alginate shown below:

QD SERIES

SNP’s QD series is quick dispersing and is designed for applications where tank agitation is insufficient to form a vortex at the time of alginate addition. QD alginates are treated through a proprietary process to prevent lumping without loss in beneficial alginate properties. The benefits of QD series are: dry material disperses under low shear, disperses without use of a dry material eductor, disperses without lumping, eliminates gel-balls which lead to higher product efficiency, is low dusting. 

SNP’s Quick Dispersing Sodium Alginates shown below:

QS SERIES

SNP quick soluble, QS, alginates offer the benefit of quick hydration under normal shear conditions. Quick hydration is especially important to manufacturer’s seeking to increase coating throughput. QS alginates are designed to reduce time of hydration from 20 to 10 minutes. QS readily disperses and wets out, is low dusting and is available in a broad range of molecular weights. These products are made using a proprietary process developed by SNP chemists and engineers. They find use in applications such as high-speed blade coating applications, high through put coating make-down systems, automated coating and ink make-down systems.

SNP’s Quick Soluble Sodium Alginates shown below:

See quick dispersing and quick soluble properties of QD and QS series in video below:

MORE ABOUT SODIUM ALGINATE

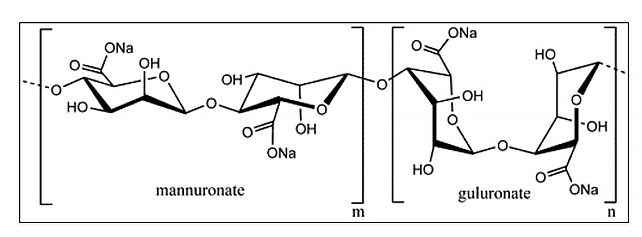
SNP’s sodium alginate is extracted from naturally occurring seaweed, specifically from the species Phaeophyceae (brown algae) and is a natural polysaccharide polymer with alternating mannuronate and guluronate units as show below.

Phaeophyceae or brown seaweed is the main source of industrial sodium alginate.  Brown seaweed is an ideal raw material because it grows in large dense beds in calm, cold seas. The plant is a perennial and can be harvested more than once a year.

Uses of
SODIUM ALGINATE

01 / Paper

Reply card, silicone release, oil/grease resistant, high quality coated print, glassine, graphic arts, baking paper

02 / packaging

Food packaging

03 / textiles

Ink thickener for screen printing, prevents bleeding/weeping

04 / printing

Print primer binder for ink jet

05 / other

Welding rods, concrete wet green strength, agricultural, mold

01 / Paper

Reply card, silicone release, oil/grease resistant, high quality coated print, glassine, graphic arts, baking paper

02 / packaging

Food packaging

03 / textiles

Ink thickener for screen printing, prevents bleeding/weeping

04 / printing

Print primer binder for ink jet

05 / other

Welding rods, concrete wet green strength, agricultural, mold

Have Questions?

Ask us about ways we may be able to help you address your product/process issues, develop your new products, and/or meet your custom needs.